Análisis comparativo de la actividad antioxidante, hemolítica y antihemolítica de extractos acuosos de-las-especies Hibiscus arnotiannus, H. cannabinus, H. mutabilis, H. rosa-sinensis e H. sabdariffa
RESUMEN
Introducción: El género Hibiscus pertenece a la familia Malvaceae y está compuesto por plantas herbáceas o arbustos que poseen flores solitarias, axila foliar y segmento del epicáliz lineares. Entre las numerosas especies del género Hibiscus la especie más conocida y estudiada es Hibiscus sabdariffa conocida como flor de Jamaica la cual se ha evidenciado que tiene una potente actividad antioxidante. Objetivos: En la investigación se planteó como objetivo caracterizar y comparar la concentración de la actividad antioxidante, hemolitica y antihemolitica de extractos acuosos de cinco especies del género Hibiscus. Materiales y métodos: los extractos se prepararon a partir de cálices de H. sabdariffa y pétalos deshidratados de las especies H. arnotiannus, H. cannabinus, H. mutabilis, H. rosa-sinensis. Para la actividad antioxidante se empleó el 2,2-difenil-1-picrilhidrazil (DPPH) y una suspensión de glóbulos rojos. Resultados: Las especies H. sabdariffa y H. cannabinus presentaron la mayor concentración de compuestos fenólicos y redujeron de manera significativa el DPPH. Así mismo se evidenció en los extractos puros de dichas especies que poseen una alta actividad hemolítica. Por otro lado las especies exhibieron mejor actividad antihemolítica frente a peróxido fueron H. sabdariffa e H. cannabinus mientras que H. arnotiannus e H. mutabilis sus extractos puros inhibieron significativamente el efecto hemolítico del carbonato de calcio. Conclusiones: la variabilidad de las biomeléculas influye notablemente en la capacidad antioxidante hemolítica y antihemolítica de estas especies.
Palabras claves: fitoquímica, hemólisis, cálices, pétalos.
COMPARATIVE ANALYSIS OF THE ANTIOXIDANT, HEMOLYTIC AND ANTIHEMOLYTIC ACTIVITY OF AQUEOUS EXTRACTS OF THE SPECIES Hibiscus arnotiannus, H. cannabinus, H. mutabilis, H. rosa-sinensis and H. sabdariffa
ABSTRACT
Introduction: The genus Hibiscus belongs to the family Malvaceae and is composed of herbaceous plants or shrubs that possess solitary flowers, leaf axil and linear epicalyx segment. Among the numerous species of the genus Hibiscus, the most known and studied species is Hibiscus sabdariffa, known as Jamaica flower, which has been shown to have a potent antioxidant activity. Objectives: The objective of this research was to characterize and compare the concentration of antioxidant, hemolytic and antihemolytic activity of aqueous extracts of five species of the genus Hibiscus. Materials and methods: extracts were prepared from calyxes of H. sabdariffa and dehydrated petals of H. arnotiannus, H. cannabinus, H. mutabilis, H. rosa-sinensis species. For antioxidant activity, 2,2-diphenyl-1-picrylhydrazyl (DPPH) and a suspension of red blood cells were used. Results: H. sabdariffa and H. cannabinus species presented the highest concentration of phenolic compounds and significantly reduced DPPH. It was also evidenced in the pure extracts of these species that they have a high hemolytic activity. On the other hand, the species that exhibited the best antihemolytic activity against peroxide were H. sabdariffa and H. cannabinus, while H. arnotiannus and H. mutabilis pure extracts significantly inhibited the hemolytic effect of calcium carbonate. Conclusions: the variability of biomolecules significantly influences the hemolytic and antihemolytic antioxidant capacity of these species.
Key words: phytochemistry, hemolysis, calyxes, petals.
INTRODUCCIÓN
El uso de prácticas complementarias para la preservación de la salud, es tan antiguo como la aparición de la especie humana, ya que, desde el principio de la civilización, se han constituido como parte fundamental de las prácticas de atención familiar y comunitaria. Entre las distintas prácticas complementarias, destaca el uso de plantas medicinales que siempre ha ocupado un lugar destacado para la preservación de la salud (Heisleret al., 2015). Las plantas medicinales como alternativa terapéutica, ha sido reconocido por la Organización Mundial de la Salud (OMS), quien las define como toda especie vegetal en la que el todo o una parte, está dotada de actividad farmacológica. Sin embargo, es necesario transmitir a la sociedad la idea, de que a pesar de que todo fitopreparado empleado con fines terapéuticos (preventivo, curativo, sintomático) puede ser un medicamento, es imperativo exigir el cumplimiento de los parámetros propios de los mismos tales como calidad, seguridad y eficacia (Navarro, 2000).
En la actualidad el auge que ha alcanzado el uso de plantas con fines terapéuticos es alto, actualmente existen aproximadamente 20.000 productos de hierbas medicinales en el mercado a nivel mundial. En la mayoría de los países, las hierbas son introducidas al mercado sin la evaluación toxicológica y de seguridad correspondiente (Sánchez et al., 2019). Este uso indiscriminado de las plantas medicinales se ha visto incrementado con la aparición de la pandemia por SARS-CoV-2 (Covid-19), donde se evidenció un aumento en el consumo de las infusiones de plantas durante el primer trimestre de la misma (González et al., 2020).
Entre los géneros de plantas que han sido estudiados se encuentra el género Hibiscus spp., perteneciente a la familia de las Malvaceae, donde se agrupan arbustos o árboles, y en menor frecuencia hierbas. Las plantas de este género, presentan un alto contenido de fibra dietética, proteínas, minerales, vitaminas y una elevada capacidad antioxidante atribuido a los compuestos fenólicos (flavonoides y antocianinas), cuyas concentraciones varían, debido probablemente, a las diferentes variedades de plantas, condiciones genéticas, ambientales, ecológicas y de cosecha (Sáyago-Ayerdi y Goñi, 2010; Botero, 2017). La especie H. sabdariffa ha sido objeto de algunos estudios para determinar diferentes actividades biológicas como la actividad hemolítica que es una prueba de gran utilidad en los ensayos que evalúan el paso de los fármacos a través de la membrana celular e interactúan con la hemoglobina (Falcónet al., 2015). De igual manera, se han realizado determinaciones de la actividad antihemolítica a través de la inhibición de la hemólisis oxidativa, para medir el porcentaje de inhibición del daño de las membranas de los eritrocitos inducido por los radicales libres, emulando procesos que ocurren en la células humanas (Takebayashi et al., 2010).
Por tales razones es recomendable realizar estudios a otras especies que también se encuentran de las cuales se desconocen o se tiene poca información de su potencial bilógico. En tal sentido en el presente estudio se planteó caracterizar y comparar la antioxidante, hemolítica y antihemolítica de los extractos acuosos de cinco especies del género Hibiscus (Hibiscus sabdariffa, Hibiscus rosa-sinensis, Hibiscus arnottianus, Hibiscus cannabinus e Hibiscus mutabilis).
MATERIALES Y MÉTODOS
Tipo de investigación
La presente investigación fue llevada a cabo bajo la modalidad descriptiva-experimental. En primer lugar, se determinó la concentración de compuestos fenólicos totales (CFT), flavonoides totales (FT) y antocianinas que posee el material vegetal de las cinco especies en estudio, H. sabdariffa, H. rosasinensis, H. arnottianus, H. cannabinus e H. mutabilis. Partiendo de la concentración de CFT obtenida, se procedió a preparar cinco concentraciones (diluciones seriadas) de los extractos acuosos de las cinco especies del género Hibiscus antes señaladas (variable independiente) para proceder a determinar su efecto sobre una suspensión de glóbulos rojos (variable dependiente), a fin de evaluar la actividad antioxidante por métodos químicos y biológicos, y por otro lado determinar la actividad hemolítica y antihemolítica que ejercen los extractos sobre la suspensión.
Material vegetal
El material vegetal estuvo constituido por los pétalos de cuatro especies del género Hibiscus y los cálices de H. sabdariffa. La recolección se realizó a partir de los arbustos de las especies H. sabdariffa, H. rosa-sinensis, H. arnottianus, H. cannabinusy H. mutabilis, y también de cálices deshidratados de H. sabdariffa, los cuales fueron secados y almacenados a temperatura ambiente, con escasa aireación y bajo sombra, para evitar la acción del oxígeno, la luz, la temperatura y microorganismos; factores que podrían transformar los compuestos originales en artefactos (Hostettmann, 2008). Posteriormente, fueron procesados en el Laboratorio de Metales Pesados de la Universidad de Carabobo Sede Aragua.
Procedimiento experimental
Preparación de extractos acuosos
Una vez obtenidos los pétalos totalmente deshidratados de las especies de Hibiscus en estudio, se procedió a triturarlos manualmente usando una bola molino, hasta obtener un tamaño de partícula menor a 1 mm. Posteriormente, se pesaron 2,5 g del material vegetal, se colocaron en un vaso de precipitado con 250 mL de agua destilada y se llevaron a una plancha de calentamiento a 150 °C hasta su ebullición. Luego, se dejó enfriar a temperatura ambiente, y se procedió a filtrar utilizando papel de filtro Whatman número 4 (Pacheco et al., 2020).
Preparación de suspensión de eritrocitos
Para llevar a cabo la separación de células sanguíneas humanas, se procedió a la extracción de 5 mL de sangre de la vena del antebrazo de un donante. La muestra fue colocada en un tubo con el anticoagulante etilendiaminotetraacético (EDTA). El proceso para la separación de los eritrocitos comenzó con la centrifugación de la sangre por 5 minutos a 1500 rpm (rotor Beckman® JA-20), a temperatura ambiente; se manípulo con sumo cuidado, para evitar riesgo de hemólisis. Se descartó el plasma y luego se tomó 1 mL del paquete celular, se dividió en dos alícuotas de 500 μL (A y B) que se lavaron con 600 μL de solución salina tamponada con fosfato (PBS) para descartar el resto del plasma. Se resuspendieron en PBS glucosilado para luego ser centrifugados a 1500 rpm por 12 minutos (Goyalet al., 2012). La suspensión final de eritrocitos se utilizó para los ensayos de evaluación de actividad hemolítica y antihemolítica.
Determinación de compuestos fenólicos totales (Método colorimétrico de Folin-Ciocalteu)
La determinación de compuestos fenólicos totales se realizó mediante el Método colorimétrico de Folin-Ciocalteu en el material vegetal de las especies de Hibiscus en estudio. Para ello, se procedió a mezclar 50 µL de cada uno de los extractos acuosos con 125 µL del reactivo de Folin y 400 µL de carbonato de sodio al 7,1% (m/v), completándose con agua destilada hasta 1 mL. Este procedimiento se realizó por quintuplicado. Por consiguiente, se prepararon cinco patrones a concentraciones de 50, 100,150, 200 y 250 µg/mL, a partir de una solución patrón madre de ácido gálico con 500 µg/mL. La lectura se realizó en un espectrofotómetro a 760 nm, expresándose los resultados como mg de ácido gálico equivalente en 100g de material vegetal (Peluso y Serafini, 2017).
Determinación de los flavonoides (Método colorimétrico)
Para la determinación de flavonoides mediante el método colorimétrico, se procedió según lo establecido por Marinovaet et al. (2005). En primer lugar, se mezclaron 100 µL del extracto acuoso con 30 µL de NaNO2 al 5% (m/v), 30 µL de AlCl3 10% (m/v), 200 µL de NaOH 1 M; ajustando con agua destilada hasta un volumen final de 1 mL. Posteriormente, se realizó la lectura a 510 nm y se comparó con la curva patrón usando como estándar catequina. Los resultados se expresaron como equivalente de catequina en mg/g de material vegetal.
Determinación de las Antocianinas
La determinación de Antocianinas se emplea con 1 ml de cada extracto y se añadió a 5 ml agua destilada a una temperatura de 50 0C. Posteriormente una vez alcanzada la temperatura ambiente se le añadió 1 ml de solución de cloruro férrico al 0,1%. De acuerdo al aspecto de color verde pardusco o coloración azul negro confirma la presencia de antocianinas valor que se expresa en forma de cruses (EL-Farmawi D et al., 2013).
Determinación de la actividad antioxidante por el método DPPH
Para la actividad antioxidante se empleó el método del radical libre 2,2-difenil-1-picrilhidrazil (DPPH) (Sigma Aldrich Co®) con una solución 100 µM de DPPH en metanol al 80%, la cual permite observar una disminución de la absorbancia, debido a la cesión de un átomo de hidrógeno por parte de los compuestos antioxidantes presentes en los extractos. En una cubeta de vidrio se colocó 100 µL de extracto acuoso y 2,9 mL de DPPH. La absorbancia fue monitoreada cada 5 min por 30 min a una longitud de onda de 515 nm. La absorbancia de referencia (A0) se obtuvo al sustituir el volumen de extracto por metanol al 80%. El porcentaje de reducción de DPPH se obtuvo de la expresión: DPPH (%) = (A0 – An) 100 / A0, donde A0 y An serán las absorbancias de referencia y de la muestra, respectivamente. Se empleó una solución patrón ácido ascórbico (vitamina C) (Pacheco-Coello et al., 2020).
Evaluación de la actividad hemolítica
Para la evaluación de la actividad hemolítica de los extractos acuosos, se utilizó con el extracto puro y con concentraciones de 5, 10, 15, 20, 25, 30 mg de ácido gálico (fenol)/ml. Se tomó un volumen de 500 μL de suspensión de glóbulos rojos y se incubó con 500 μL de la combinación del extracto puro y de cada concentración por 5 min a 37 ºC; después de este tratamiento, se centrifugó 8.000 rpm durante 12 minutos y el sobrenadante fue usado para medir la hemoglobina libre a una longitud de onda 540 nm, empleando el equipo de absorción molecular Génesis 20 (ThermoScientific). Se empleó un control de hemólisis (≈ 100%) y no hemólisis (≈ 0%), usando H2O2 al 3% y solución salina al 95% (NaCl) (Pacheco-Coello et al., 2021).
Evaluación de actividad antihemolítica en presencia de peróxido de hidrógeno (H2O2)
Para la evaluación de la actividad antihemolítica de los extractos acuosos, se utilizó con el extracto puro y con concentraciones de 5, 10, 15, 20, 25, 30 mg de ácido gálico (fenol)/mL. Del extracto puro y de cada una de las diferentes concentraciones, se tomó 1mL y se combinó con 1mL de H2O2 al 3%, incubándose durante 5 minutos a 37 ºC. Posteriormente, un volumen de 200 μL de suspensión de glóbulos rojos se incubó con 800 μL de la combinación del extracto y el H2O2, durante 5 minutos a 37 ºC; después de este tratamiento, se centrifugó a 8.000 rpm durante 12 minutos y el sobrenadante fue usado para medir la hemoglobina libre a una longitud de onda 540 nm, empleando el equipo de absorción molecular Génesis 20 (ThermoScientific). Se empleó un control de hemólisis (≈ 100%) y no hemólisis (≈ 0%), usando H2O2 al 3% y solución salina al 95% (NaCl) (Pacheco-Coello et al., 2021).
Evaluación de actividad antihemolítica en presencia de carbonato de calcio (CaCO3)
Se procedió según lo descrito en el punto anterior, pero combinando el extracto puro con las diluciones de 1 mL de CaCO3 al 5%, incubándose por 5 minutos a 37 ºC. Se tomó, un volumen de 200 μL de suspensión de glóbulos rojos se incubó con 800 μL de la combinación del extracto y el CaCO3, durante 5 minutos a 37 ºC; después de este procedimiento, se centrifugó a 8.000 rpm durante 12 minutos y el sobrenadante fue usado para medir la hemoglobina libre a una longitud de onda 540 nm, empleando el equipo de absorción molecular Génesis 20 (ThermoScientific). Se empleó un control de hemólisis (≈ 100%) y no hemolisis (≈ 0%), usando CaCO3 al 5% y solución salina al 95% (NaCl) (Pacheco-Coello et al., 2021).
Análisis de datos
Las determinaciones de compuestos fenólicos totales y flavonoides se realizaron por triplicado, expresándose como medias ± desviación estándar. Referente a la actividad antihemolítica, se aplicó un análisis de varianza de dos vías con interacción (ANOVA), usando el programa Statistix 9.0 para Windows. El intervalo de confianza fue del 95% siendo estadísticamente significativo si p ≤ 0,05.
RESULTADOS
Concentración de compuestos fenólicos totales, flavonoides e identificación de antocianinas en los extractos de cinco especies del género Hibiscus
La caracterización fitoquímica de los extractos determino que las especies H. cannabinus e H. sabdariffa fueron las que presentaron la mayor concentración de biomoléculas, mientras que la especie H. arnottianus, presentó el menor contenido de compuestos fenólicos totales y flavonoides totales, sin detección de antocianinas (tabla 1).

Tabla 1. Perfil fitoquímico de los extractos acuosos de cinco especies del género Hibiscus.
Determinación de la actividad antioxidante de los extractos acuosos de cinco especies del género Hibiscus por el método del radical libre 2,2-difenil-1-picrilhidrazil (DPPH)
En la figura 1, se observa que los extractos de H. sabdariffa y H. cannabinus fueron los que presentaron el mayor porcentaje de reducción de DPPH, muy semejantes al control de ácido ascórbico (vitamina C). Así mismo el análisis estadístico arrojo diferencia estadística en la capacidad de reducción de estas tres especies respecto al control de no reducción (DPPH solo) Para los extractos de las otras especies, el porcentaje de reducción resultó ser el más bajo, lo que se asocia a su bajo contenido en compuestos antioxidantes.

Figura 1. Efecto antioxidante de los extractos por el método del radical libre 2,2-difenil-1-picrilhidrazil (DPPH). H sabdafiffa p = 0,028; H. cannabinus p = 0,014; H. rosa-sinensis p = 0,041
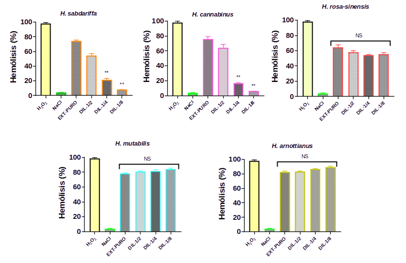
Determinación de la actividad hemolítica de los extractos acuosos de cinco especies del género Hibiscus
En la figura 2, se observa como los extractos acuosos de las especies H. sabdariffa y H. cannabinus presentaron un porcentaje de hemólisis significativamente mayor frente a las otras especies en estudio, en el orden del 70% de hemólisis. Para los extractos de las otras tres especies, el porcentaje de hemólisis estuvo por debajo del 20 %. El análisis estadístico arrojó que los porcentajes de las especies H. rosa-sinensis, H. mutabilis, H. arnotitanus fueron estadísticamente diferentes respecto al control de no hemolisis del Cloruro de sodio (NaCl).

Figura 2. Actividad hemolítica de los extractos de cinco especies del género Hibiscus.H. rosa-sinensis p = 0,044; H. mutabilis p = 0,037; H. arnotitanus p = 0,032.
Evaluación de la actividad antihemolítica en presencia de peróxido de hidrógeno (H2O2)
Los ensayos de la evaluación de la actividad antihemolítica de los extractos arrojaron que las especies H. sabdariffa y H cannabinus presentaron una mayor protección al emplearse diluidos 1/4 y 1/8, con diferencia estadística (**p < 0,05) respecto al control de hemólisis constituido por el H2O2. Para las especies H. rosa-sinensis, el porcentaje de inhibición estuvo alrededor del 60%, sin diferencia significativa (p > 0,05). Referente a las especies H. mutabiulisy H. arnottianus, no se observó inhibición significativa de la hemólisis (p > 0,05) (figura 3).

Figura 3. Evaluación de la actividad antihemolítica de los extractos en presencia de H202. **H. sabdariffa p = 0,018; **H. cannabinus p = 0,015
Evaluación de la actividad antihemolítica de los extractos en presencia de carbonato de calcio (CaCO3)
En relación al efecto antihemolítico en presencia de CaCO3, se observó un comportamiento semejante para las especies de H. sabdariffa y H. cannabinus. Para H. rosa-sinensis hubo disminución de la hemólisis en las dos últimas diluciones del extracto. Las especies mutabiulis y arnottianus resultaron ser las dos especies con el mejor comportamiento frente al CaCO3, observándose hemólisis sólo en la última dilución (Figura 4).

Figura 4. Actividad antihemolítica de los extractos en presencia de carbonato de calcio (CaCO3). H. sabdariffa dil ¼ **p = 0,017, dil 1/8 ***p = 0,008; H. cannabinus **p = 0,014-0,013; H. rosa-sinensis **p = 0,014-0,015; H. mutabilis y H. armottianus valore de **p alrededor de 0,010.
DISCUSIÓN
El interés de utilizar productos naturales es muy común en la actualidad, ya que la medicina tradicional ha permitido el descubrimiento de una diversidad de fármacos, a partir del aislamiento de compuestos bioactivos, que para la creencia popular son menos tóxicos que las sustancias sintéticas. Esa búsqueda de nuevas alternativas impulsa a descubrir si los materiales de origen natural pueden poseer una actividad biológica importante. Considerando que estas biomoléculas son la inspiración para futuros fármacos y que dentro del género Hibiscus, hay especies que han sido muy poco abordadas o estudiadas. El presente estudio tuvo como objetivo la caracterización fitoquímica y evaluación antioxidante por medio de métodos químicos y biológicos de las especies H. sabdariifa, H. rosa-sinensis , H. cannabinus , H. mutabilis , e H. arnottianus.
En relación al perfil fitoquímico, relizado en esta investigación se observó que la especie con mayor contenido de compuestos fenólicos, flavonoides y presencia de antocianinas fue la especieH. cannabinus, mientras que los estudios publicados por Riaz y Chopra, (2018) y Pacheco et al., (2019), señalan que la especie H. sabdariffaes la que reporta la mayor cantidad de estas biomoléculas, y puede atribuirse a diversos factores: la calidad del suelo, genética de la planta y variabilidad climática, por tal motivo no es posible determinar la dosis ingerida de estos compuestos. Así mismo Pascoal y et al. (2014), reportaron que los compuestos fenólicos como quercetina-3-glucósido, kaempferol-ramnósido, ácido neoclorogénico ácido clorogénico, quercetina-3-galactósido son los compuestos más representativos en las especies del género Hibiscus.
En relación con el método a aplicar para medir la actividad antioxidante es fundamental la aplicación de dos o más métodos, bien sea químicos o biológicos (Fuet al., 2011, Ganet al., 2017, Rabaet al., 2018, Pacheco-Coello et al., 2020). No obstantela evaluación de la actividad antioxidante de las cinco especies en estudio, sólo fue realizada por el método del radical libre 2,2-difenil-1-picrilhidrazil (DPPH), con el cual fue posible evidenciar que existe una relación directa entre el contenido de compuestos fenólicos y el gran número grupos oxidrilos sustituyentes así como del peso molecular de estos compuestos (figura 5) (Sogoet al., 2015; Williamsonet al., 2018).

Figura 5. Estructura química del flavonoide quercetina con sus grupos oxidrilos. Fuente: Toscano et al., 2014
Previo a la evaluación del efecto antihemolítico de los extractos acuosos de las cinco especies de Hibiscus, en estudio en presencia de peróxido de hidrogeno (H2O2) y carbonato de calcio (CaCO3), se determinó un porcentaje de hemólisis de los extractos puros, en la cual se pudo observar que al exponer la suspensión de glóbulos rojos a los extractos de H. sabdariffa e H. cannabinus, se obtuvo un porcentaje de hemólisis muy semejante al valor del control de 100% hemólisis. Por otra parte, las especies H. rosa-sinensis, H. mutabilis, H. arnottianus presentaron porcentajes de hemólisis inferiores al control con diferencia estadística significativa (p < 0,05). El alto valor del porcentaje de hemólisis observado con los extractos de las especies H. sabdariffa y H. cannabinus (figura 2), puede ser atribuido al contenido de compuestos biactivos que originan o crean un medio hiperosmótico ocasionando ruptura de la membrana celular, es decir, hemólisis (Apaket al., 2007; Anosike et al., 2018). Resultados similares fueron reportados por Landaeta et al., 2021, los cuales evaluaron el efecto hemolítico, pero empleando extractos puros y diluidos de las semillas de guayaba (Psidiumguajava) y guácimo (Guazimaulmifolia).
Para dar explicación a la actividad antihemolítica de los extractos en presencia de los xenobióticos anteriormente mencionados, es importante destacar el papel que estos tienen a nivel intracelular.
En la figura 6 se detalla como los compuesto fenólicos presentes en los extractos son capaces de estimular diversas enzimas como la súper oxido dismutasa, catalasa y glutatión reductasa, es decir, su actividad está más asociada a la estimulación celular para la síntesis de estas enzimas y evitar daños a la membrana por la inhibición de la lipo-oxidación (Riazet al., 2018,Kwak et al., 2017; Pachecoet al., 2019).

Figura 6. Efecto de los compuestos fenólicos (CF), a nivel intracelular. Súper oxido dismutasa (SDO), catalasa (CAT) y glutatión redactasa (GR). (Pacheco-Coello et al. 2021).
En los resultados, obtenidos se observó que los extractos de menor contenido en compuestos fenólicos (H. rosa – sinensis, H. mutabilis, H. arnottianus), fueron los que mostraron una menor actividad antihemolitica en presencia del H₂0₂, esto pudiera atribuirse a la concentración de H₂O₂ empleada en el estudio que reacciona en su totalidad con los compuestos fenólicos, y el resto de H₂0₂ causa hemólisis. Esto permite entonces comprender porque los extractos de H. sabdariffa y H. cannabinus presentaron hemólisis en las diluciones menores porque posiblemente existan remanentes de biomoléculas sin reaccionar produciendo un ambiente poco viable para el glóbulo rojo , causando la hemólisis del mismo; mientras que en los extractos diluidos reaccionaron equitativamente las biomoléculas con el peróxido y fue donde se observó la mejor actividad antihemolitica, este mismo comportamiento ocurrió con las especies (H. Sabdariffa, H cannabinus e H. rosa sinensis) con respecto al CaCO₂; el efecto observado para las especies H. arnotiannus e H. mutabilis fue inverso. La hemólisis se incrementa a medida que se diluye el extracto originando la hemólisis que se puede relacionar con un remanente de CaCO3, sin reaccionar.
Otros autores, Durán et al., (2013) evaluaron el efecto citotóxico y antihemolítico de extractos metanólicos de corteza de guayaba verde y mango, utilizando como modelo el eritrocito; demostrando deformabilidad en su membrana, y a su vez, observando que el extracto de guayaba presento mayor inhibición hemolítica inducida por peróxido de hidrógeno, con un porcentaje de muerte celular inferior al 20%, lo que en consecuencia produjo que ambas cortezas presentaron una gran cantidad de polifenoles con propiedades antioxidantes, demostrando inhibir la citotoxicidad. Aunado a este estudio, se encuentra el trabajo de Pacheco-Coello et al., (2021), donde evaluaron la actividad antihemolítica in vitro de Camellia sinensis, reportando una inhibición significativa de la hemólisis permitiendo concluir que la actividad antihemolítica, está relacionado con la presencia de moléculas capaces de reducir el estrés oxidativo.
CONCLUSIONES
En esta investigación se evidencio que los extractos de Hibiscus cannabinus y Hibiscus sabdariffa tienen una mayor concentración de compuestos Fenólicos totales. Así mismo fueron estos extractos los que presentaron un mayor potencial antioxidante por el método DPPH, lo que se puede relacionar directamente con los altos contenidos de compuestos fenólicos, puesto que al ser comparado con las especies de Hibiscus arnotiannus e H. mutabilis que presentaron menor concentración se observó que estos producen una menor reducción del DPPH.
Sin embargo cuando se evaluó la actividad hemolítica fueron las especies Hibiscus arnotiannus e H. mutabilislas que causaron un mayor porcentaje de Hemólisis en la suspensión de glóbulos rojos, mientras que las especie Hibiscus arnotiannus y Hibiscus mutabilis representaron las especies que causaron un menor porcentaje de Hemólisis.
Por otro lado al evaluar la actividad antihemolítica fue evidente cuando se evaluó el xenobioticós Peróxido de Hidrógeno que las especies que presentaron una mayor actividad antihemolítica fueron H. sabdariffa y H. cannabinus, en relación al Carbonato de Calcio se observó una mayor actividad antihemolítica para H. arnotiannus y H. mutabilis. Esto se relaciona directamente con las biomoléculas presentes y el remanente de los xenobioticós. Siendo de gran aporte estos hallazgos especialmente para la H. sabdariffa que es la más consumida mundialmente.
REFERENCIAS BIBLIOGRÁFICAS
- Anosike, C.A., Igboegwu, O.N. y Nwodo, O.F.C. (2018). Antioxidant properties and membrane stabilization effects of methanol extract of Mucunapruriens leaves on normal and sickle erythrocytes. Journal of Traditional and Complementary Medicine, 1-7. https://doi.org/10.1016/j.jtcme.2017.08.002
- Apak, R., Güçlü, K., Demirata, B., Özyürek, M., Esin-Celik, S., Berktasoglu, B., y et al. (2007). Comparative evaluation of various total antioxidant capacity assays applied to phenolic compounds with the CUPRAC assay. Molecules,12, 1496-1547.DOI: 10.15446/rcciquifa.v48n3.84956
- Botero, M. (2017). Micropropagación de tres especies del género Hibiscus[Versión completa en línea].Trabajo de pregrado para optar al título de Licenciada en Biología no publicado, Universidad Central de Venezuela de Caracas. Disponible: http://hdl.handle.net/10872/15728[Abril-27-2017].
- Durán, M., Montero, P. y Marrugo, Y. (2013). Extractos metanólicos de corteza de guayaba (Psidiumguajava L.) y mango (Mangifera indica L.): efecto citotóxico, antihemolítico y en la morfología de membrana de eritrocitos. Revista U.D.C.A Actualidad & Divulgación Científica, 16(2), 327–334.
- EL-Farmawi D., Olama Z., y Holail H. (2013). The Antibacterial effect of Some Natural Bioactive Materials against Klebsiella pneumoniae and MRSA. International Journal of Current Microbiology and Applied Sciences, 3(3), 576-588.
- Falcón, L. J., Alonso-Geli, M. Y., Alonso-Moreno, M. Y., E., &Lucambio-Miró, E. L. (2015). Characterization of osmotic fragility of human erythrocytes in chronic haemolytic anemia.Revista Cubana De Química, 27(2), 110–118. Retrievedfrom https://cubanaquimica.uo.edu.cu/index.php/cq/article/view/250
- Fu, L., Xu, Bt., Xu, Xr., Gan, Ry., Zhang, Y., Xia, Eq., Li, Hb. (2011). Antioxidant capacities and totalphenolic contents of 62 fruits.Food Chem. 129(1), 345-350.
- Gan, Ry., Li, Hb., Gunaratne, A., Sui, Zq., Corke, H. (2017). Effects of fermented edible seeds and theirproducts on human health: Bioactivecomponents and bioactivities. Food Sci, 16(29).489-531. https://doi.org/10.31910/rudca.v16.n2.2013.904
- Gamboa, J. V. (2019). Contenido de antocianinas y actividad antioxidante in vitro de Hibiscus sabdariffa l. (Flor de jamaica) procedente de Huaura-Huacho. Repositorio: UCV-Institucional https://hdl.handle.net/20.500.12692/40383
- González, F., Torres, L., Romero, L., Pogyo, G., Sarmiento, M. y Abad, N. (2020). La medicina Herbaria como prevención y tratamiento frente al Covid 19. REVISTA AVFT «archivos Venezolanos de farmacología y terapéutica, 39(8), 948-953.http://doi.org/10.5281/zenodo.4543573.
- Goyal, M., Singh, P., Alam, A., Das, S., Igbal, M., Dey, S. y et al. (2012). Los arilarilmetiltioarenos previenen la malaria multirresistente en ratones al promover el estrés oxidativo en los parásitos. Biología y Medicina de Radicales Libres, 53, 129-142.https://doi.org/10.1016/j.freeradbiomed.2012.04.028.
- Heisler, E., Budó, M., Schimith, M., Badke, M., Ceolin, S. y Heck, R. (2015).Uso de plantas medicinales en el cuidado de la salud: la producción científica de tesis y disertaciones de enfermería brasileña. Revista electrónica Trimestral de enfermería «Enfermería Global», 14(3), 390-403.
- Hostettmann, K. (2008). Manual de estrategias para el aislamiento de productos naturales bioactivos. Bogotá-Colombia: Convenio Andrés Bello.
- Kwak, H., Ji, S., Eong, Y. (2017). The effect of air flowin coffee roasting for antioxidant activity andtotal polyphenol content.Food Control, 71(19), 210-216.
- Landaeta, E., Mendoza, A., Pacheco, F., Ojeda, L.(2022). Efecto hemolítico de extractos de guayaba y guácimo. Revista Ciencia, Clima y Ambiente. 5(2), 45-55.
- Marinova, D., Ribarova, F. y Atanassova, M. (2005). Fenólicos totales y flavonoides totales en frutas y verduras búlgaras. Revista de Tecnología Química y Metalurgia, 40(3), 255-60.
- Navarro, M. (2000). Uso racional de las plantas medicinales.Revista Pharmaceuticalcare España, 2(1), 9-19.
- Pacheco, F., Pinto, I., Ramirez, D., Peraza, M. y Orosco, C. (2020). Compuestos bioactios y evaluación de la actividad antioxidante de cálices y hojas de HibiscussabdariffaLinn. Bioscientia, 3(5), 12-18.
- Pacheco-Coello, F., Pinto-Catari, I., Ramirez-Azuaje, D., Orosco-Vargas, C. y Peraza-Marrero, M. (2021). Evaluación in vitro de la actividad antihemolítica de extractos acuosos (Camelliasinensis, HibiscussabdariffaLinn), bajo un diseño factorial 2×5. Ciencia y salud, 5(1), 5–10.
- Pacheco-Coello, F., Ramirez-Azuaje, D., Pinto-Catari, I., Peraza-Marrero, M. y Orosco-Vargas, C. (2019). Comparación de compuestos fenólicos totales en cálices de Hibiscussabdariffa L. de Venezuela. Revista Colombiana de Ciencias Químico Farmacéuticas, 521-257.
- Pascola, D., Del Pinto, E., Gonzalez, F., Alvarez, D. (2014). Actividad biológica de los extractos naturales. VITAE, 81(2), 10-19.
- Peluso, I. y Serafini, M. (2017). Antioxidantes del té negro y verde: de la modulación dietética del estrés oxidativo a los mecanismos farmacológicos. Revista Farmacológica Br J, 174(11), 1195-208.
- Raba, Dn., Chambre, Dr., Copolovici, Dm., Moldovan, C., Copolovici, Lo. (2018). Theinfluence of high-temperature heating oncomposition and thermo-oxidative stability ofthe oil extracted from Arabica coffee beans.PLoS ONE, 13(17), 1-9.
- Riaz G, Chopra R. (2018). A review on phytochemistry and therapeutic uses of Hibiscus sabdariffa L. Biomed Pharmacother, 102, 575-586.doi: 10.1016/j.biopha.2018.03.023.
- Sánchez, J., Villalba, A., Acuña, A., Penner, L., Penner, D., Gimenéz, M. y et al. (2019). Intoxicaciones por plantas en el Centro Nacional de Toxicología durante el periodo 2011 – 2017. Asunción, Paraguay. Revista Virtual de la Sociedad Paraguaya de Medicina Interna, 6(2), 11-20. https://dx.doi.org/10.18004/rvspmi/2312-3893/2019.06.02.11-020.
- Sáyago-Ayerdi, S. y Goñi, I. (2010). Hibiscussabdariffa L: Fuente de fibra antioxidante. Archivos Latinoamericanos de Nutrición, 60(1), 79-84.
- Sogo T., Terahara N., Hisanaga A., Kumamoto T., Yamashiro T., Wu S. y et al. (2015). Anti-inflammatory activity and molecular mechanism of delphinidin 3-sambubioside, a Hibiscus anthocyanin.BioFactors, 41, 58–65.
- Takebayashi, J., Chen, J. y Tai, A. (2010). Un método para la evaluación de la actividad antioxidante basado en la inhibición de la hemólisis de eritrocitos inducida por radicales libres. En: Armstrong, D. (eds) Protocolos Avanzados en Estrés Oxidativo II. Métodos en Biología Molecular, 594(1), 287-296.
- Toscano Guerra., Emily Inocente Camones., Miguel Loja., Berta Mishti., Oscar Guiop., Euler Garrido. (2014). CUANTIFICACIÓN DE FLAVONOIDES EN UNA BEBIDA MIXTA DE QUINUA, KAÑIWA Y KIWICHA. ResearchGate.
- Williamson G., Kay C.D., Crozier A. (2018). The Bioavailability, Transport, and Bioactivity of Dietary Flavonoids: A Review from a Historical Perspective. Compr. Rev. FoodSci. FoodSaf, 17, 1054–1112.doi: 10.1111/1541-4337.12351.
Autores
Dr. Franklin Jesús Pacheco Coello
Franklin Jesús Pacheco Coello (Docente e Investigador)
Universidad de Carabobo, Departamento de Ciencias Básicas, Instituto de Investigaciones Biomédicas “Dr. Francisco Triana Alonso” (Biomed), Sección de Bioquímica Farmacológica, Laboratorio de Metales Pesados y Solventes Orgánicos, Centro de Estudio en salud de los Trabajadores (CEST-UC), Venezuela
Líneas de investigación: Biotecnología Agroindustrial y Toxicología.
Dirección postal: Calle Ruíz Pineda, La Morita II, Sector Santa Rita, estado Aragua, Venezuela Código Postal 2103
Número telefónico: (0241)6004000
